Hi students, Welcome to Amans Maths Blogs (AMB). In this post, you will get S Chand ICSE Maths Solutions Class 10 Chapter 7 Factor Theorem Factorization. This is seventh chapter ‘Factor Theorem and Factorization‘ included in ICSE Class 10 Maths syllabus.
S Chand ICSE Maths Solutions Class 10 Chapter 7 Factor Theorem Factorization Exercise 7
ICSE Solutions Factor Theorem Factorization Exercise 7: Ques No 1
Find the remainder when the expression
(i) 3x3 + 8x2 – 6x + 1 is divided by (x + 3)
(ii) 5x3 – 8x2 + 3x – 4 is divided by (x – 1)
(iii) x3 + 3x2 – 1 is divided by (3x + 2)
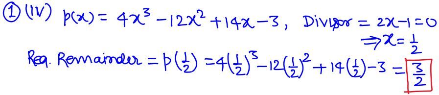
(ii) 4x3 – 12x2 + 14x – 3 is divided by (2x – 1)
S Chand ICSE Math Class 10 Solutions 1(i):
Solutions 1(ii):
Solutions 1(iii):
Solutions 1(iv):
Ques No 2
When x3 + 3x2 – kx + 4 is divided by (x – 2), the remainder is k. Find the value of constant k.
Solutions:
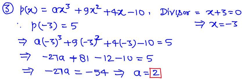
Ques No 3
Find the value of a if the division of ax3 + 9x2 + 4x – 10 by (x + 3) leaves a remainder 5.
Solutions:
Ques No 4
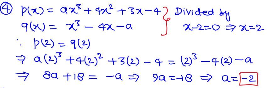
If the polynomials ax3 + 4x2 + 3x – 4 and x3 – 4x – a leave the same remainder when divided by (x – 2), find the value of a.
Solutions:
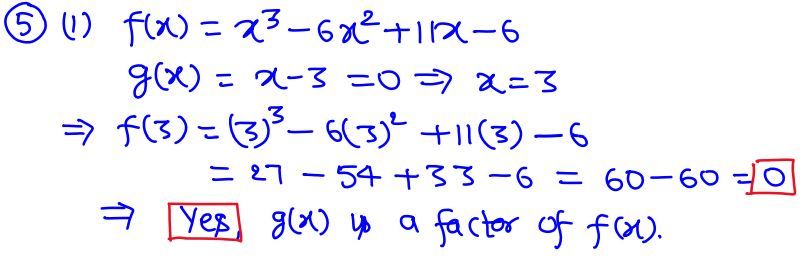
Ques No 5
Use factor theorem in each of the following to find whether g(x) is factor of f(x) or not.
(i) f(x) = x3 – 6x2 + 11x – 6, g(x) = x – 3
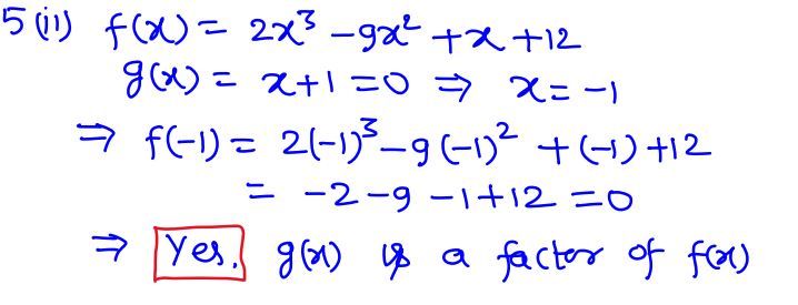
(ii) f(x) = 2x3 – 9x2 + x + 12, g(x) = x + 1
(iii) f(x) = 7x2 – 2√8x2 – 6, g(x) = x + √2
(iv) f(x) = 3x3 + x2 – 20x + 12, g(x) = 3x – 2
Solutions 5(i):
Solutions 5(ii):
Solutions 5(iii):
Solutions 5(iv):
Ques No 6
Find the value of a if x3 + ax2 + 2a – 2 is exactly divisible by (x + 1).
Solutions:
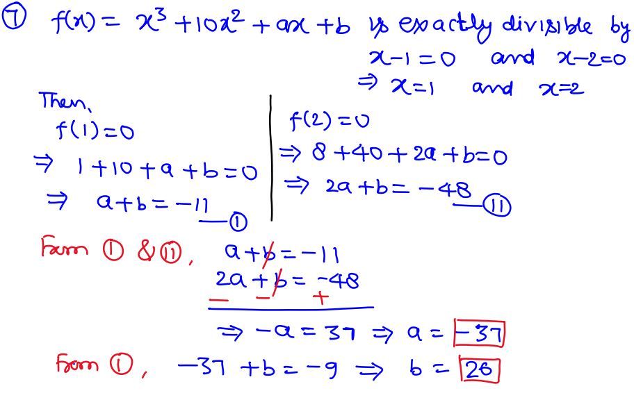
Ques No 7
Find the values of a and b so that the expression x3 + 10x2 + ax + b is exactly divisible by (x – 1) as well as (x – 2).
Solutions:
Ques No 8
If (x – 2) is a factor of x2 + ax – 6 = 0 and x2 – 9x + b = 0, find the value of a and b.
Solutions:
Ques No 9
If both (x – 2) and (x – 1/2) are factors of px2 + 5x + r, show that p = r.
Solutions:
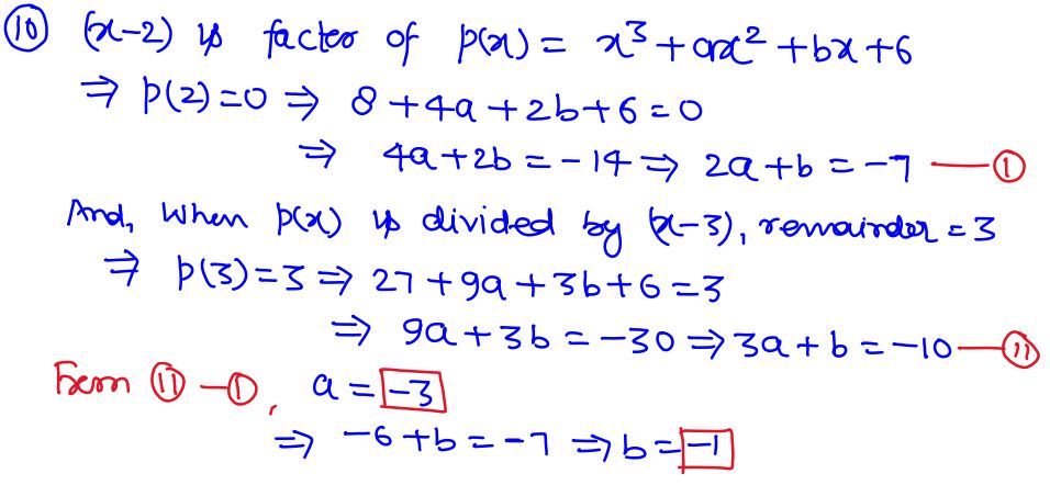
Ques No 10
If x3 + ax2 + bx + 6 has (x – 2) as a factor and leaves a remainder 3 when divided by (x – 3), find the value of a and b.
Solutions:
Ques No 11
Factorize:
(i) x3 + 13x2 + 32x + 20 if it is given that (x + 2) as its factor.
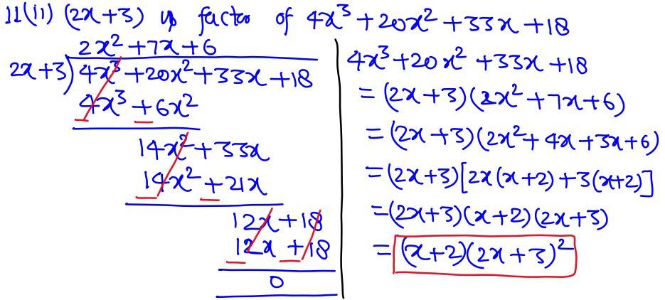
(ii) 4x3 + 20x2 + 33x + 18 if it is given that (2x + 3) as its factor.
Solutions 11(i):
Solutions 11(ii):
Ques No 12
Show that
(i) (x – 10) is a factor of x3 – 23x2 + 142x – 120 and hence factorize it completely.
(ii) (3z + 10) is a factor of 9z3 – 27z2 – 100z + 300 and hence factorize it completely.
Solutions 12(i):
Solutions 12(i):
Ques No 13
Given that (x – 2) and (x + 1) are factors of x3 + 3x2 + ax + b, calculating the values of a and b and hence find the remaining factor.
Solutions:
Ques No 14
Given that (x + 2) and (x – 3) are factors of x3 + ax + b, calculate the values of a and b and hence find the remaining factor.
Solutions:
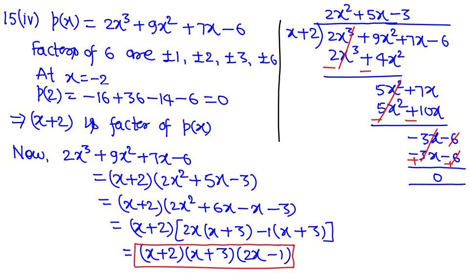
Ques No 15
Factorize, using remainder theorem:
(i) x3 – 19x – 30
(ii) x3 + 7x2 – 21x – 27
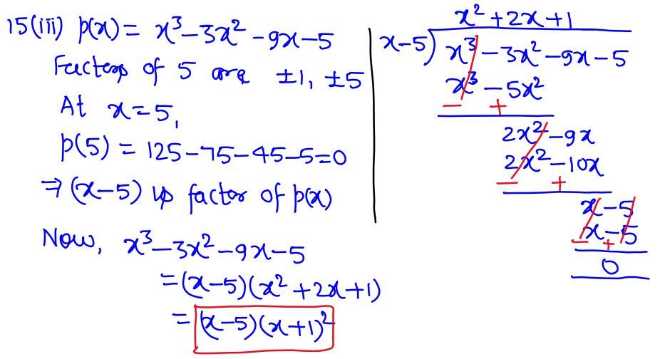
(iii) x3 – 3x2 – 9x – 5
(iv) 2x3 + 9x2 + 7x – 6
Solutions 15(i):
Solutions 15(ii):
Solutions 15(iii):
Solutions 15(iv):
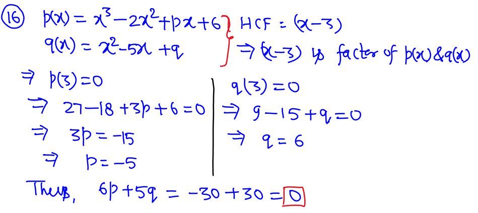
Ques No 16
(x – 3) is HCF of x3 – 2x2 + px + 6 and x2 – 5x + q. Find (6p + 9q).
Solutions:
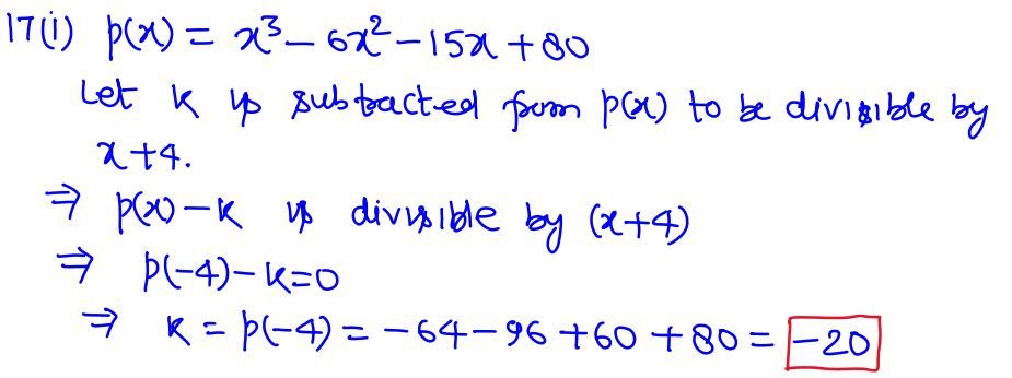
ICSE Maths Solutions Class 10 Chapter 7 Factor Theorem Factorization: Ques No 17
(i) What number must be subtracted from x3 – 6x2 – 15x + 80 so that the result is exactly divisible by (x + 4).
(i) What number must be added to x3 – 3x2 – 12x + 19 so that the result is exactly divisible by (x – 2).
S Chand ICSE Math Class 10 Solutions 17(i):
Solutions 17(ii):
| S Chand ICSE Class 10 Maths Chapterwise Notes & Solutions |
|---|
| Chapter 1 : GST Notes & Solutions | Notes | Exercise 1 |
| Chapter 2 : Banking Notes & Solutions | Notes | Exercise 2 | Revision Exercise |
| Chapter 3 : Shares & Dividends Notes & Solutions | Notes | Exercise 3A | Exercise 3B | Revision Exercise |
| Chapter 4 : Linear Inequations in One Variable Notes & Solutions | Notes | Exercise 4 | Revision Exercise |
| Chapter 5 : Quadratic Equations Notes & Solutions | Notes | Exercise 5A | Exercise 5B | Exercise 5C| Exercise 5D| Exercise 5E| Revision Exercise |
| Chapter 6 : Ratios & Proportions Notes & Solutions | Notes | Exercise 6A | Exercise 6B | Exercise 6C| Revision Exercise |
Join Telegram to get PDF
