S Chand ICSE Maths Solutions Class 10 Chapter 6 Ratio Proportion Revision Exercise
Hi students, Welcome to Amans Maths Blogs (AMB). In this post, you will get S Chand ICSE Maths Solutions Class 10 Chapter 6 Ratio Proportion Revision Exercise. This is the chapter of introduction of ‘Ratio and Proportion‘ included in ICSE Class 10 Maths syllabus.
S Chand ICSE Maths Solutions for Class 10 Chapter 6 Revision Exercise
S Chand ICSE Maths Solutions Class 10 Chapter 6 Ratio Proportion Revision Exercise: Ques No 1
Given a/b = c/d, prove that (3a – 5b)/(3a + 5b) = (3c – 5d)/(3c + 5d).
S Chand ICSE Maths Solutions:
Ques No 2
Two numbers are in the ratio of 3 : 5. If 8 is added to each number, the ratio becomes 2 : 3. Find the numbers.
Solutions:
Ques No 3
If a : b = 5 : 3, then find the value of (5a + 8b) : (6a – 7b).
Solutions:
Ques No 4
If (3a + 4b) / (3c + 4d) = (3a – 4b) / (3c – 4d), then prove that a / b = c / d.
Solutions:
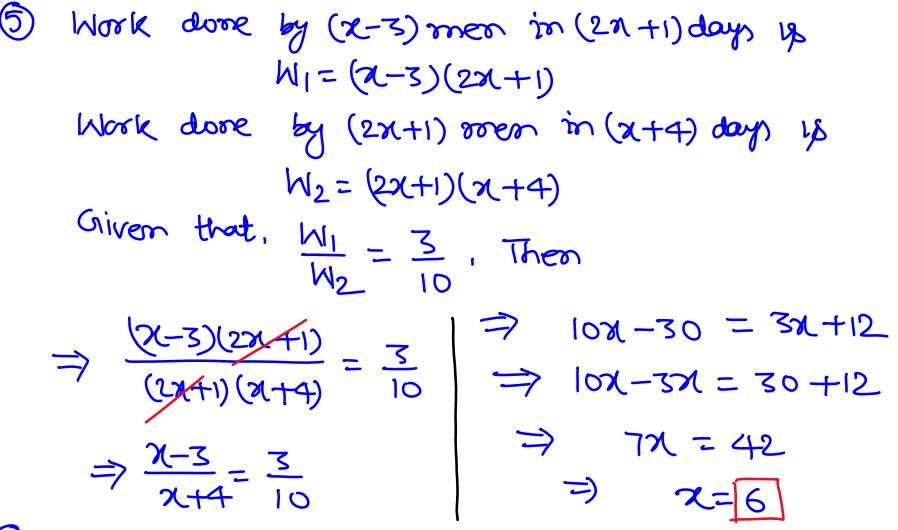
Ques No 5
The work done by (x – 3) men in (2x + 1) days and the work done by (2x + 1) men in (x + 4) days are in the ratio 3 : 10. Find the value of x.
Solutions:
Ques No 6
What number should be subtracted from each of the numbers 23, 30, 57 and 78 so that the remainders are in proportion?
Solutions:
Ques No 7
What number must be added to each of the numbers 6, 15, 20 and 43 to make them in proportion?
Solutions:
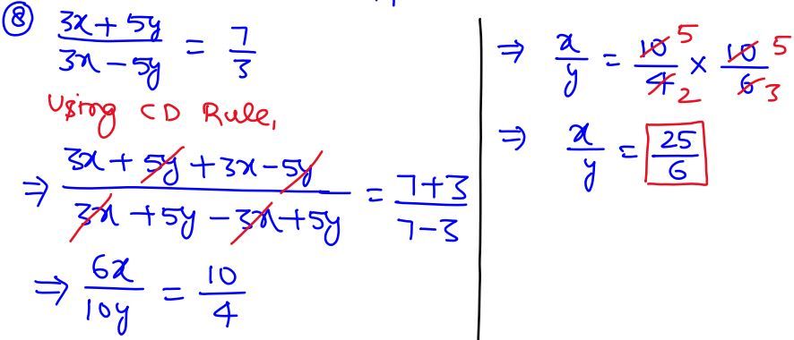
Ques No 8
If (3x + 5y) / (3x – 5y) = 7 / 3, then find the value of x / y.
Solutions:
Ques No 9
If x = [√(a + 3b) + √(a – 3b)] / [√(a + 3b) – √(a – 3b)], then prove that 3bx2 – 2ax + 3b = 0.
Solutions:
Ques No 10
If (8a – 5b) / (8c – 5d) = (8a + 5b) / (8c + 5d), then prove that a / b = c / d.
Solutions:
Ques No 11
What least number must be added to each of the numbers 5, 11, 19 and 37 to make them in proportion?
Solutions:
Ques No 12
Given that (a3 + 3ab2) / (b3 + 3a2b) = 63 / 62, using componendo and dividendo, find the value of a : b.
Solutions:
Ques No 13
If x, y, z are in continued proportion, then prove that (x + y)2 / (y + z)2 = x / z.
Solutions:
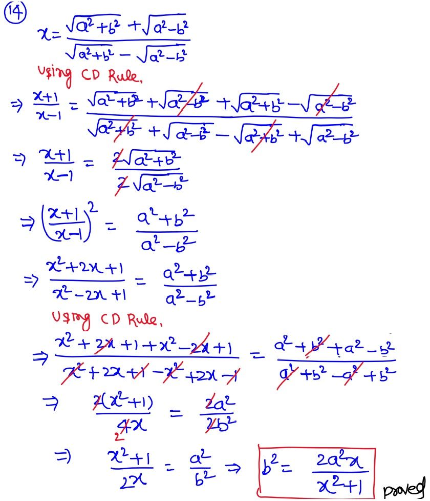
Ques No 14
Given x = [√(a2 + b2) + √(a2 – b2)] / [√(a2 + b2) + √(a2 – b2)], use componendo and dividendo to prove that b2 = 2a2x / (x2 + 1).
Solutions:
Ques No 15
Using componendo and dividendo, find the value of x. [√(3x + 4) + √(3x – 5)] / [√(3x + 4) + √(3x – 5)] = 9
Solutions:
Ques No 16
6 is the mean proportional between two numbers x and y and 48 is the third proportional of x and y. Find the numbers.
Solutions:
Ques No 17
If x = [√(a + 1) + √(a – 1)] / [√(a + 1) + √(a – 1)], using properties of proportion show that x2 – 2ax + 1 = 0.
Solutions:
Ques No 18
Using the properties of proportion, solve for x, given that (x4 + 1) / 2x2 = 17 / 8.
Solutions:
Ques No 19
If (x2 + y2) / (x2 – y2) = 17 / 8, find the value of (i) x : y and (ii) (x3 + y3) / (x3 – y3).
Solutions:
Ques No 20
If a, b, c, d are in continued proportion, prove that (a + b + c)(a – b + c) = a2 + b2 + c2.
Solutions:
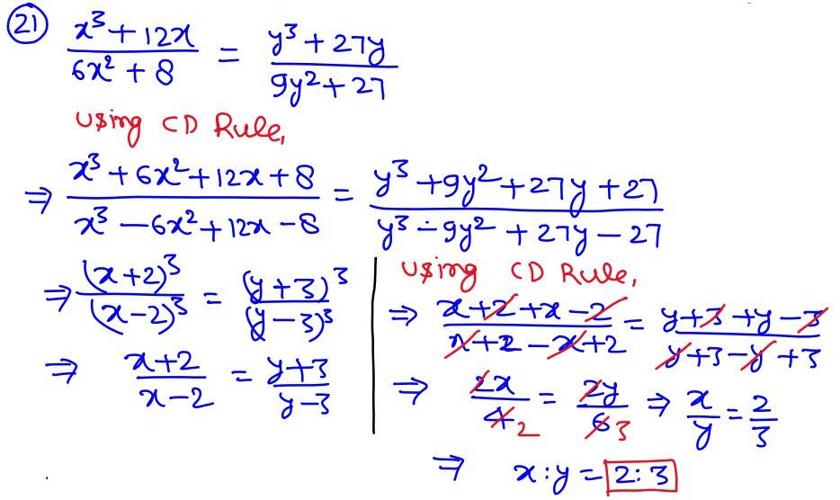
Ques No 21
Given that (x3 + 12x) / (6x2 + 8) = (y3 + 27y) / (9y2 + 27), find the value of x : y.
Solutions:
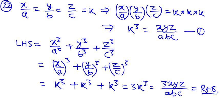
Ques No 22
If x / a = y / b = z / c, then show that x3/a3 + y3/b3 + z3/c3 = 3xyz/abc.
Solutions:
| S Chand ICSE Class 10 Maths Chapterwise Notes & Solutions |
|---|
| Chapter 1 : GST Notes & Solutions | Notes | Exercise 1 |
| Chapter 2 : Banking Notes & Solutions | Notes | Exercise 2 | Revision Exercise |
| Chapter 3 : Shares & Dividends Notes & Solutions | Notes | Exercise 3A | Exercise 3B | Revision Exercise |
| Chapter 4 : Linear Inequations in One Variable Notes & Solutions | Notes | Exercise 4 | Revision Exercise |
| Chapter 5 : Quadratic Equations Notes & Solutions | Notes | Exercise 5A | Exercise 5B | Exercise 5C| Exercise 5D| Exercise 5E| Revision Exercise |
| Chapter 6 : Ratios & Proportions Notes & Solutions | Notes | Exercise 6A | Exercise 6B | Exercise 6C| Revision Exercise |
Join Telegram to get PDF
