S Chand ICSE Class 10 Maths Chapter 6 Ratio Proportion Exercise 6C Solutions
Hi students, Welcome to Amans Maths Blogs (AMB). In this post, you will get S Chand ICSE Class 10 Maths Chapter 6 Ratio Proportion Exercise 6C Solutions. This is the chapter of introduction of ‘Ratio and Proportion‘ included in ICSE Class 10 Maths syllabus.
S Chand ICSE Maths Solutions Class 10 Chapter 6 Ratio Proportion Exercise 6C
S Chand ICSE Class 10 Maths Chapter 6 Ratio Proportion Exercise 6C: Ques No 1
If x/a = y/b = z/c, show that
(i) x3/a3 – y3/b3 + z3/c3 = xyz/abc
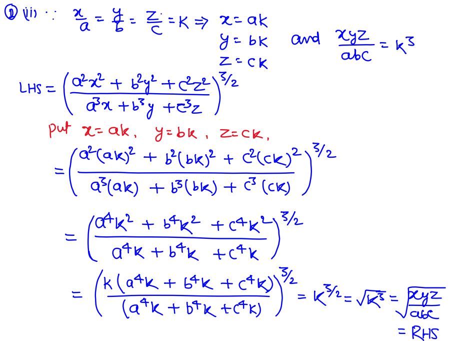
(ii) ((a2x2 + b2y2 + c2z2) / (a3x + b3y + c3z))3/2 = √(xyz / abc)
(iii) (xz + ac) / (xz – ac) = (yz + bc) / (yz – dc)
S Chand ICSE Maths Solutions 1(i):
S Chand ICSE Maths Solutions 1(ii):
S Chand ICSE Maths Solutions 1(iii):
Ques No 2
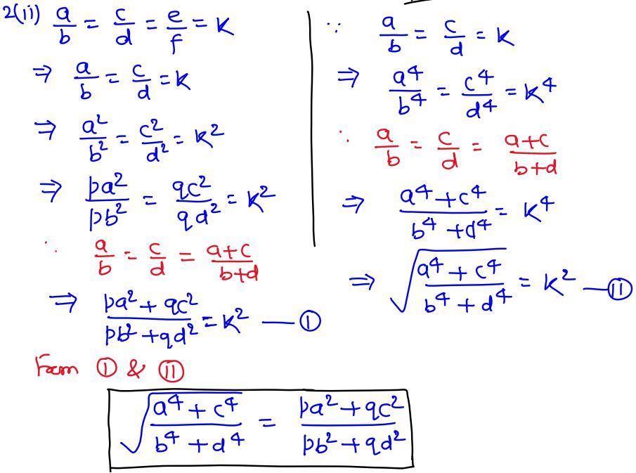
If a/b = c/d = e/f, prove the following
(i) (pa3 + qc3 + re3) / (pb3 + qd3 + rf3) = ace/bdf
(ii) √((a4 + c4) / (b4 + d4)) = (pa2 + qc2) / (pb2 + qd2)
Solutions 2(i):
Solutions 2(ii):
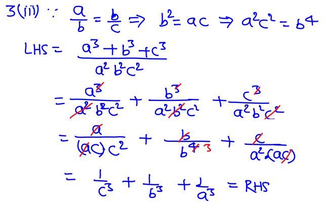
Ques No 3
If a, b, c are in continued proportion, then prove that
(i) (a + b + c)(a – b + c) = a2 + b2 + c2
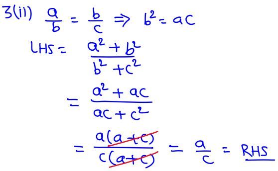
(ii) (a2 + b2) / (b2 + c2) = a / c
(iii) (a3 + b3 + c3) / a2b2c2 = 1/a3 + 1/b3 + 1/c3
Solutions 3(i):
Solutions 3(ii):
Solutions 3(iii):
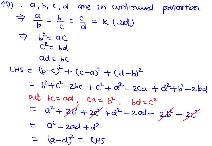
Ques No 4
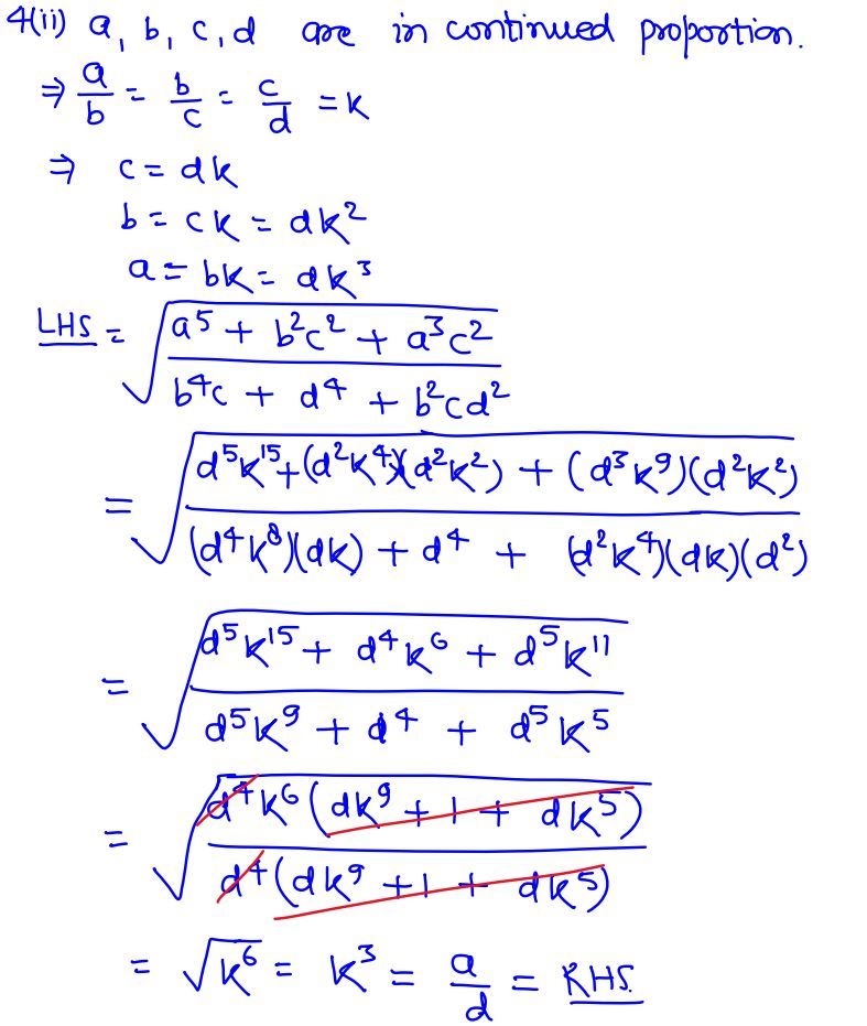
If a, b, c, d are in continued proportion, then prove that
(i) (b – c)2 + (c – a)2 + (d – b)2 = (a – d)2
(ii) √[(a5 + b2c2 + a3c2) / (b4c + d4 + b2cd2) = a / d
(iii) √ab – √bc + √cd = √((a – b + c)(b – c + d))
(iv) (3a + 5d) / (5a + 7d) = (3a3 + 5d3) / (5a3 + 7d3)
Solutions 4(i):
Solutions 4(ii):
Solutions 4(iii):
Solutions 4(iv):
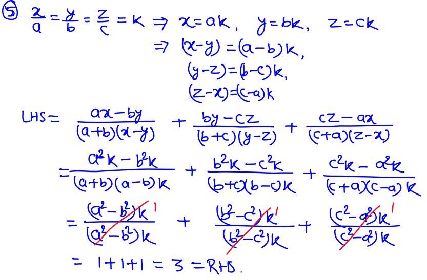
Ques No 5
If x/a = y/b = z/c, prove that [(ax – by) / (a + b)(x – y)] + [(by – cz) / (b + c)(y – z)] + [(cz – ax) / (c + a)(z – x)] = 3
Solutions:
Ques No 6
If x/(b + c – a) = y/(c + a – b) = z/(a + b – c), then show that each ratio is equal to (x + y + z) / (a + b + c).
Solutions:
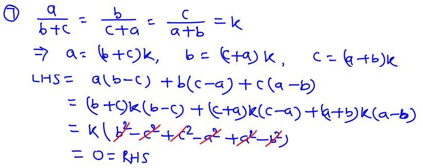
Ques No 7
If a/(b + c) = b/(c + a) = c/(a + b), then prove that a(b – c) + b(c – a) + c(a – b) = 0
Solutions:
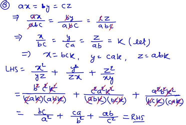
S Chand ICSE Class 10 Maths Chapter 6 Ratio Proportion Exercise 6C: Ques No 8
If ax = by = cz, then prove that x2/yz + y2/zx + z2/xy = bc/a2 + ca/b2 + ab/c2.
S Chand ICSE Maths Solutions:
| S Chand ICSE Class 10 Maths Chapterwise Notes & Solutions |
|---|
| Chapter 1 : GST Notes & Solutions | Notes | Exercise 1 |
| Chapter 2 : Banking Notes & Solutions | Notes | Exercise 2 | Revision Exercise |
| Chapter 3 : Shares & Dividends Notes & Solutions | Notes | Exercise 3A | Exercise 3B | Revision Exercise |
| Chapter 4 : Linear Inequations in One Variable Notes & Solutions | Notes | Exercise 4 | Revision Exercise |
| Chapter 5 : Quadratic Equations Notes & Solutions | Notes | Exercise 5A | Exercise 5B | Exercise 5C| Exercise 5D| Exercise 5E| Revision Exercise |
| Chapter 6 : Ratios & Proportions Notes & Solutions | Notes | Exercise 6A | Exercise 6B | Exercise 6C| Revision Exercise |
Join Telegram to get PDF
