Hi CUET aspirants, Welcome to Amans Maths Blogs (AMBIPi). In this post, you will get CUET Physics Study Materials Electromagnetic Induction Notes AMBIPi. This CUET Physics Notes are designed by analyzing to the CUET Syllabus and CUET Previous Years Questions Papers.
CUET Physics Notes
CUET Physics Electromagnetic Induction: Important Points to Remember
There are following important points in this chapter of Electromagnetic Induction.
- Relative motion between the coil and the magnet is responsible for induction of electric current in coil but according to Faraday experiment, the relative motion is not an absolute requirement. Current can be induced even without relative motion.
- Mechanical work done in moving the magnet w.r.t the coil, changes into electrical energy, producing induced current.
- Eddy current opposes the induced current.
- Eddy current is produced in the conductor due to change in magnetic flux linked with it.
- We can reduce eddy current by reducing surface area but we cannot eliminate them.
- The dimensions of the mutual inductance (M) is same as that of self-inductance.
- Mutual inductance of two coil depends upon, (i) Geometry of two coils, i.e., size, number of turns, nature of material (ii) Distance between two coils (iii) Relative placement of two coils (orientation).
- Coefficient of coupling (K) of two coils is a measure of the coupling between the two coils is given by

- K = 1, when two coils connected in series then we can show that

- In coupling i.e., mutual inductance of two co-axial solenoid. The area & length are considered of smaller one and larger respectively.
- Work done will be more when coil moves rapidly in the magnetic field because in that case opposing emf induced in the coil will be more.
- E.m.f is always induced, but current will be induced only when the circuit is complete.
- It is not possible to have mutual inductance without self inductance but it may or may not be possible to have self
inductance without mutual inductance. - Transformer has highest possible efficiency out of all the electrical machines.
- An emf is induced in a closed loop where magnetic flux is varied. The induced electric field is not conservative field
because for induced electric field, the line integral
around a closed path is non-zero. - Acceleration of a magnet falling through a long solenoid decrease because the induced current produced in a circuit
always flows in such direction that it opposes the change or the cause that produces it.
CUET Physics Electromagnetic Induction: Important Formulas
1. Relation between self inductance and mutal inductance

2. Faraday’s and Lenz’s Law

3. Self Inductance

4. Mutual Inductance

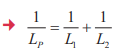
5. Parallel Combination of Inductor

6. Series Combination of Inductor
![]()

7. Electric Devices (Application of EMI)

CUET Physics Mock Test
Now, you have revised the this CUET Physics chapter. So, you must need to practice CUET Physics Sample Papers. By solving these CUET Physics questions, you will be more confident about your CUET preparations.
