Hi CUET aspirants, Welcome to Amans Maths Blogs (AMBIPi). In this post, you will get CUET Physics Sample Papers Electromagnetic Induction AMBIPi. This CUET Physics Mock Test is of the Physics chapter Electromagnetic Induction. Before solving these CUET Physics questions, you must read CUET Physics Notes, which helps you to revise CUET Physics Syllabus and then you must need to solve CUET Previous Years Questions Papers.
CUET Physics Mock Test
CUET Physics Question No: 1
In electromagnetic induction, the induced e.m.f. in a coil is independent of
Option A : Change in the flux
Option B : Time
Option C : Resistance of the circuit
Option D : None of these
Show/Hide Answer Key
Option C: Resistance of the circuit
The induced e.m.f. in a coil is independent of resistance of the circuit.
CUET Exam Physics Question No: 2
Lenz’s law is consequence of the law of conservation of
Option A : Charge
Option B : Momentum
Option C : Mass
Option D : Energy
Show/Hide Answer Key
Option D: Energy
The energy of the field increases with the magnitude of the field. Lenz’s law infers that there is an opposite field created due to increase or decrease of magnetic flux around a conductor so as to hold the law of conservation of energy
CUET UG Physics Question No: 3
In electromagnetic induction, the induced charge in a coil is
Option A : Change in the flux
Option B : Time
Option C : Resistance in the circuit
Option D : None of these
Show/Hide Answer Key
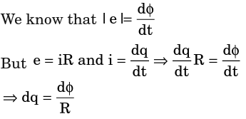
Option B: Time
Time

CUET Domain Subject Physics Question No: 4
The magnetic flux linked with a coil is given by an equation = 8t2 + 3t + 5. The induced e.m.f. in the coil at the fourth second will be
Option A : 16 units
Option B : 39 units
Option C : 67 units
Option D : 145 units
Show/Hide Answer Key
Option C: 67 times

CUET BSc Physics Question No: 5
The direction of induced e.m.f. during electromagnetic induction is given by.
Option A : Faraday’s law
Option B : Lenz’s law
Option C : Maxwell’s law
Option D : Ampere’s law
Show/Hide Answer Key
Option B: Lenz’s law
The direction of induced e.m.f. during electromagnetic induction is given by Lenz’s law.
CUET Entrance Exam Physics Question No: 6
According to Faraday’s law of electromagnetic induction
Option A : The direction of induced current is such that it opposes the cause producing it
Option B : The magnitude of induced e.m.f. produced in a coil is directly proportional to the rate of change of magnetic flux.
Option C : The direction of induced e.m.f. is such that it opposes the cause producing it
Option D : None of these
Show/Hide Answer Key
Option B: The magnitude of induced e.m.f. produced in a coil is directly proportional to the rate of change of magnetic flux.
According to Faraday’s law of electromagnetic induction, the magnitude of induced e.m.f. produced in a coil is directly proportional to the rate of change of magnetic flux.
CUET Exam Question No: 7
Lenz’s law gives
Option A : The magnitude of the induced e.m.f.
Option B : The direction of the induced current
Option C : Both the magnitude and direction of the induced current
Option D : The magnitude of the induced current
Show/Hide Answer Key
Option B: The direction of the induced current
Lenz’s law gives the direction of the induced current.
CUET Physics Practice Questions No: 8
Faraday’s laws are consequences of conservation of
Option A : Energy
Option B : Energy and Magnetic field
Option C : Charge
Option D : Magnetic field
Show/Hide Answer Key
Option A: Energy
Faraday’s laws involve conversion of mechanical energy into electrical energy. This is in accordance with the law of conservation of energy
CUET Physics Sample Paper Question No: 9
Lenz’s law is expressed by the following formula (here e = induced e.m.f., = magnetic flux in one turn and N = number of turns)
Option A : e = Φ dN / dt
Option B : e = -N dΦ / dt
Option C : e = -d (ΦN) / dt
Option D : e = N dΦ/ dt
Show/Hide Answer Key
Option B: e = -N dΦ / dt
Lenz’s formula e = -N dΦ / dt
CUET Physics Mock Test Question No: 10
A two metre wire is morning with a velocity of 1 m/sec perpendicular to a magnetic field of 0.5 weber/m2. The e.m.f. induced in it will be
Option A : 0.5 volt
Option B : 0.1 volt
Option C : 2 volt
Option D : 1volt
Show/Hide Answer Key
Option C: 2 volt
We know that e = Bvl = 0.5 × 1 × 2 = 1 volt
CUET Physics Question No: 11
A conducting wire is dropped along east-west direction, then
Option A : No emf is induced
Option B : No induced current flows
Option C : Induced current flows from west to east
Option D : Induced current flows from east to west
Show/Hide Answer Key
Option C: Induced current flows from west to east
A conducting wire is dropped along east-west direction, then induced current flows from west to east
CUET Exam Physics Question No: 12
A 50 mH coil carries a current of 2 ampere. The energy stored in joules is
Option A : 1
Option B : 0.1
Option C : 0.05
Option D : 0.5
Show/Hide Answer Key
Option B: 0.1 Joule

CUET UG Physics Question No: 13
Average energy stored in a pure inductance L when a current i flows through it, is
Option A : Li2
Option B : 2Li2
Option C : Li2/4
Option D : Li2/2
Show/Hide Answer Key
Option D: Li2/2

Work done against back e.m.f. (e) in time dt and current (i) is

CUET Domain Subject Physics Question No: 14
In what form is the energy stored in an inductor
Option A : Magnetic
Option B : Electrical
Option C : Both magnetic and electrical
Option D : Heat
Show/Hide Answer Key
Option A: Magnetic
The energy stored in an inductor is in the form of magnetic. Energy stored

CUET BSc Physics Question No: 15
When the number of turns in a coil is doubled without any change in the length of the coil, its self inductance becomes.
Option A : Four times
Option B : Doubled
Option C : Halved
Option D : Unchanged
Show/Hide Answer Key
Option D: Four times

CUET Entrance Exam Physics Question No: 16
Mutual inductance of two coils can be increased by
Option A : Decreasing the number of turns in the coils
Option B : Increasing the number of turns in the coils
Option C : Winding the coils on wooden core
Option D : None of the above
Show/Hide Answer Key
Option B: Increasing the number of turns in the coils
Mutual inductance of two coils can be increased by increasing the number of turns in the coils.
CUET Exam Question No: 17
The current flowing in a coil of self inductance 0.4 mH is increased by 250 mA in 0.1 sec. The e.m.f, induced will be
Option A : +1V
Option B : -1V
Option C :+1 mV
Option D : -1 mV
Show/Hide Answer Key
Option D: -1 mV
![]()
CUET Physics Practice Questions No: 18
The self inductance of a solenoid of length L, area of cross-section A and having N turns is
Option A : μoN2A/ L
Option B : μoNA/ L
Option C : μoN2LA
Option D : μoNLA
Show/Hide Answer Key
Option A: μoN2A/ L
The self inductance of a solenoid = μoN2A / L
CUET Physics Sample Paper Question No: 19
The SI unit of inductance, henery, can be written as
Option A : weber/ampere
Option B : Volt-second/ampere
Option C : Joule/(ampere)2
Option D : All of these
Show/Hide Answer Key
Option B: All of these
CUET Physics Mock Test Question No: 20
The self inductance of a straight conductor is
Option A : Zero
Option B : very large
Option C : infinite
Option D : very small
Show/Hide Answer Key
Option A: Zero
∵L ∝ N(number of turns) For straight conductor N = 0 Hence, L = 0
CUET Physics Question No: 21
The current in a coil of inductance 5H decreases at the rate of 2A/S. The induced e.m.f. is
Option A : 2V
Option B : 5V
Option C : 10V
Option D : -10V
Show/Hide Answer Key
Option C: 10V

CUET Exam Physics Question No: 22
In a choke coil, the resistance XL and resistance R are such that
Option A : XL = R
Option B : XL > > R
Option C : XL < < R
Option D : XL = ∞
Show/Hide Answer Key
Option B: XL > > R
A choke coil is an electrical appliance used for controlling current in an a.c. circuit. In a choke coil R <<XL to avoid power dissipation.
CUET UG Physics Question No: 23
Use of eddy currents is done in the following except
Option A : Moving coil galvanometer
Option B : Electric brakes
Option C : Induction motar
Option D : Dynamo
Show/Hide Answer Key
Option B: Electric brakes
Eddy current is not used in dynamo.
CUET Domain Subject Physics Question No: 24
The device that does’t work on the principle of mutual induction is
Option A : Induction Coil
Option B : Motor
Option C : Tesla coil
Option D : Transformer
Show/Hide Answer Key
Option D: Transformer
The device that does’t work on the principle of mutual induction is Tesla coil.
