Hi CUET aspirants, Welcome to Amans Maths Blogs (AMBIPi). In this post, you will get CUET Physics Questions Electromagnetic Waves AMBIPi. This CUET Physics Mock Test is of the Physics chapter Electromagnetic Waves. Before solving these CUET Physics questions, you must read CUET Physics Notes, which helps you to revise CUET Physics Syllabus and then you must need to solve CUET Previous Years Questions Papers.
CUET Physics Mock Test
CUET Physics Question No: 1
One requires 11 ev of energy to dissociate a carbon monoxide molecular into carbon and oxygen atoms. The minimum frequency of the appropriate electromagnetic radiation to achieve the dissociation lies in
Option A : Visible region
Option B : Infrared region
Option C : Ultraviolet region
Option D : Microwave region
Show/Hide Answer Key
Option C: Ultraviolet region
As E = hv
⇒ v = E/h = 11/ 4.14 x 10-15 = 2.7 x 1015 Hz.
Frequency range of UV = 1014 Hz to 1017 Hz
CUET Exam Physics Question No: 2
Electromagnetic waves are produced by
Option A : accelerated charged particle
Option B : charge at rest
Option C : charge in uniform motion
Option D : none of the above
Show/Hide Answer Key
Option A: accelerated charged particle
Electromagnetic waves are produced by accelerated charged particle.
CUET UG Physics Question No: 3
The ratio of amplitude of magnetic field to the amplitude of electric field for an electromagnetic wave propagating field for an electromagnetic wave propagating in vacuum is equal to
Option A : the speed of light in vacuum
Option B : reciprocal of speed of light in vacuum
Option C : the ratio of magnetic permeability to the electric susceptibility of vacuum
Option D : unity
Show/Hide Answer Key
Option B: reciprocal of speed of light in vacuum
The ratio of amplitude of magnetic field to the amplitude of electric field for an electromagnetic wave propagating in vacuum is equal to the reciprocal of speed of light in vacuum.
CUET Domain Subject Physics Question No: 4
The ratio of contributions made by the electric field and magnetic field components to the intensity of an e.m. wave is
Option A : c : 1
Option B : c2 : 1
Option C : 1 : 1
Option D : √c : 1
Show/Hide Answer Key
Option C: 1 : 1
Intensity is

CUET BSc Physics Question No: 5
Fundamental particle in an electromagnetic wave is
Option A : photon
Option B : electron
Option C : phonon
Option D : proton
Show/Hide Answer Key
Option C: phonon
Fundamental particle in an electromagnetic wave is photon.
CUET Entrance Exam Physics Question No: 6
x-rays of λ = 1 Å have frequency
Option A : 3 × 108 Hz
Option B : 3 × 1018 Hz
Option C : 3 × 1010 Hz
Option D : 3 × 1015 Hz
Show/Hide Answer Key
Option B: 3 × 1018 Hz
v = c/λ= 3 x 108 / 10-10 = 3 x 1018 Hz
CUET Exam Question No: 7
Earth’s atmosphere is richest in
Option A : UV-rays
Option B : IR-rays
Option C : X-rays
Option D : microwaves
Show/Hide Answer Key
Option B: IR-rays
Earth’s atmosphere is richest in Infra-red waves.
CUET Physics Practice Questions No: 8
According to Maxwell’s hypothesis, a changing electric field gives rise to
Option A : an emf
Option B : electric current
Option C : magnetic field
Option D : pressure gradient
Show/Hide Answer Key
Option C: magnetic field
According to Maxwell’s hypothesis, a changing electric field gives rise to magnetic field.
CUET Physics Sample Paper Question No: 9
The velocity of electromagnetic waves in free space is 3 × 108 m/s. The frequency of a radiowaves of wave-length 150 m is
Option A : 45 MHz
Option B : 2 MHz
Option C : 20 KHz
Option D : 2 KHz
Show/Hide Answer Key
Option B: 2 MHz
v = c/ λ = 3x 108/ 150 = 300 x 106/ 150 = 2MHz
CUET Physics Mock Test Question No: 10
In general, the wavelength of microwaves is
Option A : more than that of radio waves
Option B : less than that of UV waves
Option C : more than that of IR waves
Option D : less than that of IR waves
Show/Hide Answer Key
Option C: more than that of IR waves
In general, the wavelength of microwaves is more than that of IR waves.
CUET Physics Question No: 11
Electromagnetic waves are transverse in nature is evident by
Option A : polarisation
Option B : interference
Option C : reflection
Option D : diffraction
Show/Hide Answer Key
Option A: polarisation
Electromagnetic waves are transverse in nature is evident by polarisation
CUET Exam Physics Question No: 12
Infrared radiations are detected by
Option A : spectrometer
Option B : Pyrometer
Option C : Nanometer
Option D : Photometer
Show/Hide Answer Key
Option B: Pyrometer
Infrared radiations are detected by pyrometer.
CUET UG Physics Question No: 13
What is the cause of green house effect?
Option A : Infrared rays
Option B : Ultraviolet rays
Option C : X-rays
Option D : Radio waves
Show/Hide Answer Key
Option A: Infrared rays
Infrared is the cause of greenhouse effect
CUET Domain Subject Physics Question No: 14
Which of the following radiations has the least wavelength?
Option A : γ-rays
Option B : β-rays
Option C : α-rays
Option D : X- rays
Show/Hide Answer Key
Option A: γ-rays
γ-rays has the least wavelength.
CUET BSc Physics Question No: 15
Which of the following is a natural source of -rays?
Option A : Radio-cobalt
Option B : Radio-phosphorus
Option C : Radon gas
Option D : Radio-carbon
Show/Hide Answer Key
Option C: Radon gas
Radon gas is a natural source of γ-rays
CUET Entrance Exam Physics Question No: 16
An electromagnetic wave of frequency 3MHz passes from vacuum into a dielectric medium with permittivity ∈r = 4, then
Option A : The wavelength of frequency both remains unchanged
Option B : The wavelength is doubled and the frequency remains unchanged
Option C : The wavelength is doubled and the frequency becomes half
Option D : The wavelength is halved and the frequency remains unchanged.
Show/Hide Answer Key
Option D: The wavelength is halved and the frequency remains unchanged.
Frequency remains unchanged with change of medium

CUET Exam Question No: 17
Which of the following is used to produce radio waves of constant amplitude?
Option A : Oscillator
Option B : FET
Option C : Rectifier
Option D : Amplifier
Show/Hide Answer Key
Option A: Oscillator
Oscillator is used to produce ratio waves of constant amplitude.
CUET Physics Practice Questions No: 18
In an electromagnetic wave, the electric and magnetic fields are 100 V/m and 0.265 A/m. The maximum energy flow will be
Option A : 79 W/m2
Option B : 13.2 W/m2
Option C : 53 W/m2
Option D : 26.5 W/m2
Show/Hide Answer Key
Option D: 26.5 W/m2
Maximum energy flow in an electromagnetic wave,
= Eo Bo = ( 100 v / m ) (0.265 A / m )
CUET Physics Sample Paper Question No: 19
Electromagnetic wave travel in a medium which has relative premeability 1.3 and relative permeability 2.14. The speed of e.m. wave in the medium will be
Option A : 13.6 × 106 m/s
Option B : 1.8 × 102 m/s
Option C : 36 × 108
Option D : 1.8 × 108 m/s
Show/Hide Answer Key
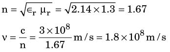
Option D: 1.8 × 108 m/s

CUET Physics Mock Test Question No: 20
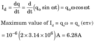
A small metallic ball is charged positively and negatively in a sinusoidal manner at a frequency of 106 cps. The maximum charge on the ball is 10–6 cps. What is the displacement current due to the alternating current?
Option A : 6.28 A
Option B : 3.8 A
Option C : 3.75 × 10–4A
Option D : 122.56A
Show/Hide Answer Key
Option D: 6.28 A

CUET Physics Question No: 21
The electric and magnetic fields of an electromagnetic wave are
Option A : in opposite phase and perpendicular to each other
Option B : in opposite phase and parallel to each other
Option C : in phase and perpendicular to each other
Option D : in phase and parallel to each other
Show/Hide Answer Key
Option C: in phase and perpendicular to each other
The electric and magnetic fields of an electromagnetic wave are in phase and perpendicular to each other.
