Home > CUET > CUET Physics Mock Test Alternating Current AMBIPi

CUET Physics Mock Test Alternating Current AMBIPi

Hi CUET aspirants, Welcome to Amans Maths Blogs (AMBIPi). In this post, you will get CUET Physics Mock Test Electric Charges and Fields AMBIPi. This CUET Physics Mock Test is of the Physics chapter Alternating Current.  Before solving these CUET Physics questions, you must read CUET Physics Notes, which helps you to revise CUET Physics Syllabus and then you must need to solve CUET Previous Years Questions Papers.

CUET Physics Mock Test

CUET Physics Question No: 1

Alternating current can not be measured by dc ammeter because

Option A : ac cannot pass through dc ammeter

Option B : Average value of complete cycle is zero

Option C : ac is virtual

Option D : ac changes its direction

Show/Hide Answer Key

Option B: Average value of complete cycle is zero

In dc ammeter, a coil is free to rotate in the magnetic field of a fixed magnet. If an alternating current is passed through such a coil, the torque will reverse its’s direction each time the current changes direction and the average value of the torque will be zero.

CUET Exam Physics Question No: 2

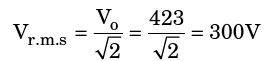
In an ac circuit, peak value of voltage is 423 vol. Its effective voltage is

Option A : 400 volts 

Option B :  323 volts

Option C : 300 volts 

Option D : 340 volts

Show/Hide Answer Key

Option D: 300 volts

Effective Voltage 

CUET UG Physics Question No: 3

In an ac circuit I = 100 sin 200 πt. The time required for the current to achieve its peak value will be

Option A : 1/100 sec

Option B : 1/200 sec

Option C : 1/300 sec

Option D : 1/400 sec

Show/Hide Answer Key

Option D: 1/400 sec

CUET Domain Subject Physics Question No: 4

The peak value of an alternating current is 6 amp, then r.m.s value of current will be

Option A : 3 A

Option B : 3√3A

Option C : 3√2A

Option D : 2 √3A

Show/Hide Answer Key

Option C: 3√2A

CUET BSc Physics Question No: 5

If E0 represents the peak value of the voltage in an ac circuit, the r.m.s. value of the voltage will be

Option A : E0

Option B : E0/2

Option C : E0/√π

Option D : E0/√2

Show/Hide Answer Key

Option D: E0/√2

CUET Entrance Exam Physics Question No: 6

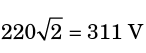
The peak value of 220 volts of ac mains is

Option A : 155.6 volts

Option B : 220 volts

Option C : 311 volts

Option D : 440 volts

Show/Hide Answer Key

Option C: 311 volts

Peak value =

CUET Exam Question No: 7

A sinusoidal ac current flows through a resistor of resistance R. If the peak current is IP , then the power dissipated is

Option A : Ip2R cosθ

Option B : 1/2 Ip2R

Option C : 4/π Ip2R

Option D : I/π Ip2R

Show/Hide Answer Key

Option B: 1/2 Ip2R

Since f ∝ 1/d2, when r is halved the force becomes four times.

CUET Physics Practice Questions No: 8

The frequency of ac mains in India is

Option A : 80 Hz

Option B : 50 Hz

Option C : 60 Hz 

Option D : 120 Hz

Show/Hide Answer Key

Option B: 50 Hz

The frequency of ac mains in India is 50 Hz.

CUET Physics Sample Paper Question No: 9

The root mean square value of the alternating current is equal to

Option A : Twice the peak value

Option B : Half the peak value

Option C : 1/√2  times the peak value

Option D : Equal to the peak value

Show/Hide Answer Key

Option C: 1/√2  times the peak value

The r.m.s value of the alternating current is equal to 1/√2 times the peak value.

CUET Physics Mock Test Question No: 10

The voltage domestic ac is 220 volts. What does this represent

Option A : Mean voltage

Option B : Peak voltage

Option C : Root mean voltage

Option D : Root mean square voltage

Show/Hide Answer Key

Option D: Root mean square voltage

The voltage of domestic ac is 220 volts. It represents root mean square voltage.

CUET Physics Question No: 11

The process by which ac is converted into dc is known as

Option A : Purification

Option B : Amplification

Option C : Rectification

Option D : Current amplification

Show/Hide Answer Key

Option C: Rectification

The process by which ac is converted into dc is known as rectification.

CUET Exam Physics Question No: 12

The ratio of peak value and r.m.s value of an alternating current is

Option A : 1

Option B : 1/2

Option C : √2

Option D : 1/√2

Show/Hide Answer Key

Option C: √2

The ratio of peak value and r.m.s value of an alternating current is √2.

CUET UG Physics Question No: 13

A transformer is based on the principle of

Option A :  Mutual Inductance

Option B : Self inductance

Option C : Ampere’s law

Option D : Lenz’s law

Show/Hide Answer Key

Option A: Mutual Inductance

A transformer is based on the principle of mutual inductance.

CUET Domain Subject Physics Question No: 14

Which of the following is not an application of eddy currents.

Option A : Induction furnace

Option B :  Galvanometer damping

Option C : Speedometer of automobiles

Option D : x-ray crystallography

Show/Hide Answer Key

Option D: x-ray crystallography

x-ray crystallography is not an application of eddy currents.

CUET BSc Physics Question No: 15

The core of a transformer is laminated to reduce energy losses due to

Option A : Eddy current

Option B : Hysteresis

Option C : Resistance in winding

Option D : None of these

Show/Hide Answer Key

Option A: Eddy current

Circulation of eddy currents is decreased by use of laminated core.

CUET Entrance Exam Physics Question No: 16

Dynamo is a device for converting

Option A : Electrical energy into mechanical energy

Option B : Mechanical energy into electrical energy

Option C : Chemical energy into mechanical energy

Option D : Mechanical energy into Chemical energy

Show/Hide Answer Key

Option B: Mechanical energy into electrical energy 

Dynamo is a device for converting mechanical energy into electrical energy. 

CUET Exam Question No: 17

The working of dynamo is based on principle of 

Option A : Electromagnetic Induction

Option B : Conversion of energy into electricity

Option C : Magnetic effects of current

Option D : Heating effect of current

Show/Hide Answer Key

Option A: Electromagnetic Induction

Rotation of magnet in the dynamo creates the variable flux which in turn produces the induced current.

CUET Physics Practice Questions No: 18

Work of electric motor is

Option A : To convert ac into dc

Option B : To convert dc into ac

Option C : Both (a) and (b)

Option D : To convert ac into mechanical work

Show/Hide Answer Key

Option D: To convert ac into mechanical work

Work of electric motor is to convert ac into mechanical work.

CUET Physics Sample Paper Question No: 19

A transformer is employed to

Option A : Obtain a suitable dc voltage

Option B : convert dc into ac

Option C : obtain a suitable ac voltage

Option D : convert ac into dc

Show/Hide Answer Key

Option C: obtain a suitable ac voltage

A transformer is a device used to convert alternating current at high voltage into low voltage and vice-versa.

CUET Physics Mock Test Question No: 20

What is increased in step-down transformer

Option A : Voltage

Option B : Current

Option C : Power

Option D : Current density

Show/Hide Answer Key

Option B: Current

We know that for step down transformer

current in the secondary coil is greater than the primary.

CUET Physics Question No: 21

The transformation ratio in the step-up transformer is 

Option A : 1

Option B : Greater than one

Option C : Less than one

Option D : Depends on the other factors

Show/Hide Answer Key

Option B: Greater than Once

CUET Exam Physics Question No: 22

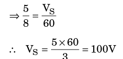
A step up transformer has transformation ration 5 : 3. What is voltage in secondary if voltage in primary is 60V?

Option A : 20 V

Option B : 60 V

Option C : 100 V

Option D : 180 V

Show/Hide Answer Key

Option C: 100 V 

Transformation ratio k = Vs/Vp  

AMAN RAJ
I am AMAN KUMAR VISHWAKARMA (in short you can say AMAN RAJ). I am Mathematics faculty for academic and competitive exams. For more details about me, kindly visit me on LinkedIn (Copy this URL and Search on Google): https://www.linkedin.com/in/ambipi/

Leave a Reply

error: Content is protected !!