Home > JSTSE MVPP > JSTSE MVPP 2019-20 Question Paper With Answer Keys and Solutions > JSTSE 2019-20 Question Paper With Answer Keys Solutions 182

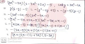
JSTSE 2019-20 Question Paper With Answer Keys Solutions 182

JSTSE-2019-20-Question-Paper-With-Answer-Keys-Solutions

AMAN RAJ
I am AMAN KUMAR VISHWAKARMA (in short you can say AMAN RAJ). I am Mathematics faculty for academic and competitive exams. For more details about me, kindly visit me on LinkedIn (Copy this URL and Search on Google): https://www.linkedin.com/in/ambipi/

Leave a Reply

error: Content is protected !!