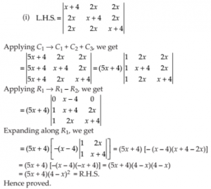
Home > CBSE Class 12 > NCERT Solutions for Class 12 Maths Determinants Exercise 4.2 > img_5de09ec1564db
AMAN RAJ
I am AMAN KUMAR VISHWAKARMA (in short you can say AMAN RAJ). I am Mathematics faculty for academic and competitive exams. For more details about me, kindly visit me on LinkedIn (Copy this URL and Search on Google): https://www.linkedin.com/in/ambipi/

