Hi CUET aspirants, Welcome to Amans Maths Blogs (AMBIPi). In this post, you will get CUET Chemistry Notes Study Materials Organic Compound Containing Nitrogen Amines AMBIPi. This CUET Chemistry Notes are designed by analyzing to the CUET Syllabus and CUET Previous Years Questions Papers.
CUET Chemistry Notes
CUET Chemistry Organic Compound Containing Nitrogen Amines: Important Points to Remember
There are following important points in this chapter of Organic Compound Containing Nitrogen Amines.
CUET Chemistry: Preparation of Amines

CUET Chemistry: Chemical Reactions of Amines
Basic character of amines:
Larger the value of Kb or smaller the value of pKb, stronger is the base.
Aliphatic amines are stronger base than ammonia due to +I effect of alkyl groups leading to high electron density on the
nitrogen atom.
The order of basicity of amines in the gaseous phase follows the expected order: tertiary amine > secondary amine > primary amine > NH3.
The order of the stability of ions as follows:
![]()
The order of basic strength in aqueous solution follows:

pKb value of aniline is quite high because in aniline or other arylamines, the -NH2 group is attached directly to the benzene ring. It results in the unshared electron pair on nitrogen atom to be in conjugation with the benzene ring and thus making it less available for protonation.

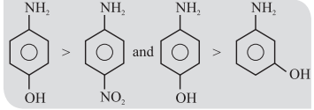
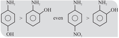
Ortho effect: Any ortho substituted aniline is a weaker base than ortho substituted amine.


CUET Chemistry: Preparation of Aromatic Amines


CUET Chemistry: Distinction between 1°, 2° & 3° Amines

CUET Chemistry: Properties of Diazonium Salts

CUET Chemistry Mock Test
Now, you have revised the this CUET Chemistry chapter. So, you must need to practice CUET Chemistry Sample Papers. By solving these CUET Chemistry questions, you will be more confident about your CUET preparations.
