JEE Advanced 2017 Maths Question Paper 2 Online
MCQ (Single Correct Answer)
Marks: +3, -1
Question:
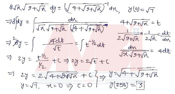
If y = y(x) satisfies the differential equation
dx.
x > 0 and y(0) = √7, then find the value of y(256).
Option A : 16
Option B : 3
Option C : 9
Option D : 80
Solution:
This question is asked in JEE Advanced 2017 Maths Questions Paper and it is from Differential Equations Chapter.
The solution of this question is as below.
If you want to get the PDF of this question of JEE Advanced 2017 Maths Questions Solutions, Join Telegram NOW.
